Wieso tut man sich das eigentlich an?

… dem einen oder anderen wird diese Frage vermutlich aktuell des Öfteren im Kopf herum schwirren während man den – vermeintlich nicht endenden – Klausursachverhalt liest und versucht eine strukturierte Lösung aufs Papier zu bringen.

Ich habe mit der Klausur heute und der Nachbesprechung 1/3 des Klausurenkurses hinter mich gebracht und bin immer noch top motiviert. Natürlich gibt es in jeder Klausur Probleme und Themen, womit man im ersten Moment nichts anfangen kann. Aber dann heißt es erstmal tief durchatmen und versuchen strukturiert an die Sache heranzugehen. Mir sind auch schon einige blöde Fehler oder auch Fehler aufgrund von „Unwissenheit“ passiert, aber auch dann denke ich mir immer, besser jetzt als im Oktober und der Lerneffekt ist nochmal größer. Insbesondere die Nachbesprechung – mit wirklich grandiosen Dozenten – bringt an der einen oder anderen Stelle nochmal sehr viel Licht in die Finsternis 🙂

Für diejenigen, die aktuell öfter an sich zweifeln und sich mehrfach am Tag denken „wieso tue ich mir das eigentlich an? wieso habe ich mir eigentlich einen Examensberuf ausgewählt?“ hier eine kleine Motivationsliste, weshalb es toll ist Steuerberater zu werden:

  1. Weil uns allen Steuerrecht natürlich auch Spaß macht, sonst hätten wir uns nach den ersten Vorlesungen im Studium schnell wieder davon verabschiedet!
  2. Weil wir Ahnung von einem Gebiet haben, auf dem sich nur eine kleine Anzahl von Menschen überhaupt auskennt (2016: 85.570 StB in Deutschland Quelle: statista).
  3. Die Vielzahl unterschiedlicher steuerlicher Schwerpunkte von Transfer Pricing über Corporate Tax bis hin zu Real Estate Tax.
  4. Die Vielzahl an Tätigkeiten von der Lohnabrechnung bis zur Gestaltungsberatung.
  5. Wir beschäftigen uns nicht nur mit einer spannenden Materie, sondern haben auch mit den unterschiedlichsten Mandanten zu tun : Von Dax30 bis hin zum Tante Emma Laden.
  6. Man lernt immer neue interessante Menschen sowohl als Mandant als auch als Kollegen kennen.
  7. Die Gehaltsperspektive ist nicht die schlechteste.
  8. Die Arbeit ist sehr flexibel und individuell.

…. Fallen euch noch mehr gute Gründe ein? Eventuell hilft es dem einen oder anderen sich für den Endspurt nochmal richtig zu motivieren 🙂 Ihr dürft also gerne ergänzen 🙂

#keeponfighting #endspurt

~ Man muss an sich selbst glauben, das ist das Geheimnis ~ (Charlie Chaplin)

Ich packe meinen Koffer …

… und nehme – gefühlt – meine halbe Wohnung mit 🙂

Morgen steht zunächst im Technikkurs das Thema ErbSt auf dem Plan. Hier bin ich mal gespannt, was der Dozent zur Klausurtechnik erzählt und an Tipps gibt. Denn bei der Durchsicht der Vorjahresklausuren ist mir aufgefallen, dass insbesondere die Fälle im Bereich ErbSt immer länger und komplexer wurden. Den sicheren Punktelieferanten ErbSt gibt es meiner Meinung nach nicht mehr. Wie seht ihr das???

Ab Montag geht dann auch bei mir der Klausurenkurs los. Ich bin schon sehr gespannt, wie die Klausuren für mich laufen … Fachlich, zeitlich, körperlich und geistig werde ich hier bestimmt an meine Grenzen kommen, aber ich verspreche mir auch einen erheblichen Sprung in Richtung Examen.

Ich absolviere den Klausurenkurs bei Endriss in Köln-Hürth. Hierzu melden sich generell recht viele Examenskandidaten an, sodass man in einem riesigen Raum mit vielen Menschen, die alle vor sich hin wuseln, über 6 Std. versucht, möglichst viel Ergebnis auf’s Papier zu bringen. Reale Bedingungen also 😉 Ich bin gespannt, wie ich damit zurecht komme. Meine bisherigen Klausuren schrieb ich alle in meinem ruhigen Arbeitszimmer 🙂 18 Klausuren werden die nächsten Tage nochmal geschrieben und besprochen 🙂 Großes Lob an meinen Arm, dass er sich noch nicht freiwillig von meinem Körper getrennt hat!

Deshalb werde ich ab morgen „Kölnerin“ 🙂 Um nicht jeden Tag 3 Std. auf der Autobahn zu verbringen, habe ich mir eine Wohnung in Köln genommen und werde mich hier die nächsten Wochen von der Außenwelt abschotten …

Wie läuft’s bei euch? Hat bei euch der Klausurenkurs bereits begonnen? Was könnt ihr berichten? Irgendwelche hilfreichen Tipps?

In diesem Sinne genieße ich meinen letzten Abend in „Freiheit“ 🙂

Die Zeit rennt …

…  heute in zwei Monaten haben wir die Prüfung schon hinter uns. Unglaublich, wie die Zeit vergeht!!!! Manchmal habe ich abends nach dem Lernen das Gefühl, dass die Tage seit meiner Freistellung so unglaublich schnell vorbei sind und das Leben an mir vorbei läuft, freundlich winkt und mich fast überholt. Teilweise gehe ich in mich und frage mich: „Was hast du seit Juni überhaupt gelernt?“ Dann werde ich kurz nervös, aber besinne mich auch schnell wieder darauf, was ich in der Zeit schon alles geschafft habe. Geht euch das auch so, dass die Zeit so verfliegt und ihr gar nicht wisst, wo die Tage geblieben sind? …, dass ihr meint alles wieder vergessen zu haben?

Ich habe gestern Abend meine letzte Klausur geschrieben und heute morgen in den Briefkasten geworfen. Damit sind nun 27 Klausuren (12 Klausuren aus dem Endriss Kombikurs und 15 aus dem Grundkurs von gfs) geschrieben und eingeschickt!!! Ein gutes Gefühl 🙂 Deshalb bin ich heute morgen nicht so früh aufgestanden und habe mich nicht an den Schreibtisch gesetzt. Heute morgen habe ich – wenn ich mich richtig zurück erinnere – zum 1. Mal in meiner Freistellung richtig ausgeschlafen und ausgiebig gefrühstückt. Das tat sehr gut und ich fühle mich, wie nach einer Woche Urlaub 🙂

Dennoch steht heute internationales Steuerrecht auf dem Programm. Hier muss ich die Themen des Kurses nacharbeiten und Fälle lösen. Ansonsten werde ich den Abend heute im schwarz-gelben Tempel verbringen und den BVB von der Südtribüne aus anfeuern 🙂 Auch wenn es „nur“ der Supercub ist, bin ich auf die Götze u. Hummels Reaktionen sehr gespannt 🙂 und hoffe auf ein spannendes Spiel!!!! Ich freue mich, die Wohnung nicht zum Müll herunterbringen, einkaufen oder Sport machen zu verlassen, sondern für eine private Aktivität, die in den letzten Wochen sehr zu kurz kamen.

In diesem Sinne wünsche ich euch ein schönes Wochenende 🙂 Nehmt euch ab und an ein paar freie Stunden und genießt diese!

Uta

Ergänzungslieferungen …

… wie ich sie liebe – #NOT! Auch bei mir trudelte heute die 159. Ergänzungslieferung zu den Steuerrichtlinien ein 😀 Inhalt sind im Wesentlichen die neuen KSt-Richtlinien 2015. Allerdings stimmt die Nummerierung der neuen Richtlinien überhaupt nicht mehr mit denen der Vorversion überein.

Neben einiger Markierarbeit muss man sich zudem noch komplett umstellen und erstmal mehr blättern!

Habt ihr euch schon Gedanken gemacht, wie ihr damit umgeht? Sortiert ihr die RL komplett ein und markiert nach oder nehmt ihr sie auf einem gesonderten Heftstreifen mit?

Ich bin mir an dieser Stelle noch nicht ganz schlüssig, wie ich am besten vorgehe. Bislang hat sich auch noch kein Anbieter dazu geäußert. Wurden bei euch in den Vorbereitungskursen Empfehlungen dazu abgegeben?

36 Grad und es wird noch heißer …

… Chris hat ja in seinem letzten Beitrag schon ein paar Tipps zum Umgang mit dem plötzlich ausgebrochenen Sommer gegeben 😉 Ich hoffe, ihr konntet trotz der heißen Temperaturen eure Gedanken auf steuerrechtliche Themen fokussieren und habt fleißig gelernt 🙂 Ich verbrachte den Großteil meiner Zeit in dieser Woche im Arbeitszimmer und verließ dieses nur für meine Laufrunde / Sporteinheiten und zur Nahrungsaufnahme 🙂 Das Ergebnis der Woche sind dadurch 4 geschriebene Ertragsteuerklausuren sowie die Nacharbeit von zurück erhaltenen Klausuren. Also insgesamt ein guter Schnitt in dieser Woche, allerdings war es gerade zum Ende hin (heute Abend 20.30 Uhr) echt eine Qual auch noch die letzte Klausur vollständig durchzuziehen… Aber naja, nun ist es geschafft und die Korrektorin freut sich bestimmt riesig über meine Post am Montag 😉 Insgesamt liefen die Klausuren, soweit ich es bisher beurteilen kann, ganz ok. Allerdings habe ich im Bereich der Personengesellschaften gemerkt, dass hier noch Luft noch oben ist und ich mir die Themen dazu nochmal detaillierter anschauen muss.

Wie läuft’s bei euch? Seid ihr schon auf Level? Schaut ihr beim Klausuren schreiben noch in die Skripte oder schreibt ihr die Klausuren in 6 Std. runter?

Weiterhin habe ich heute festgestellt, dass in genau einem Monat!!!! schon mein Klausurenkurs bei Endriss beginnt. Wahnsinn, wie die Zeit rennt. Bis dahin gilt es noch einige Klausuren zu schreiben und Themengebiete zu bearbeiten. Bis zum Klausurenkurs will ich auf einem guten Level sein, damit ich mir dort den letzten Schliff hole.

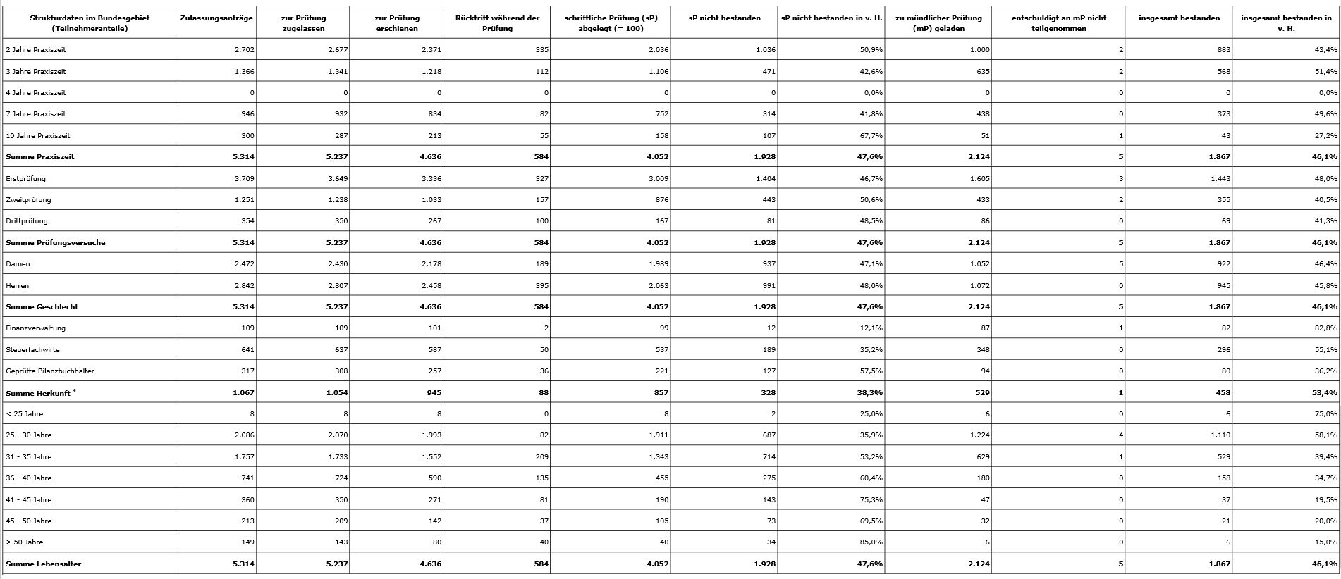
In der DStR 29/2016 ist heute nochmal eine interessante Auswertung über die Prüfungsergebnisse des StB-Examens nach Strukturdaten erschienen:

Strukturdaten DStR

Fazit: Am besten arbeitet man in der Finanzverwaltung und ist unter 25 J. 😉

In diesem Sinne wünsche ich euch ein schönes Wochenende! Genießt etwas das gute Wetter und bleibt fleißig!

Abkürzungen – erlaubt oder no-go?

Hello community 🙂 ,

am Sonntag hatten wir zum ersten Mal den Klausuren-Technik-Kurs. Es stand AO auf dem Programm. Der Kurs war aus meiner Sicht echt super. Es wurde nochmal sehr schematisch dargestellt, wie man welches Klausurthema am besten bearbeitet und löst. Das hat mir persönlich sehr geholfen, da die tatsächliche Herangehensweise an Klausuren im Jahreskurs etwas kurz kam.

Allerdings bin ich mir in einem Punkt weiterhin unschlüssig: Die Dozentin hat den Tipp gegeben, aufgrund des knappen Zeitfensters, insbesondere in der gemischten Klausur, diverse Sachen abzukürzen. Die gängigen Abkürzungen, wie z.B. UStG, AO, etc., die man einem Korrektor nicht erklären muss, werde ich auch nutzen.

Es wurde weiterhin der Hinweis gegeben, dass wir am Anfang der Klausur eine Legende anlegen und hier dann einige Worte abkürzen und erklären, bspw. HiZi = Hinterziehungszinsen, StraZu = Strafzuschlag, nstb = nicht steuerbar, stb = steuerbar, etc..

Was haltet ihr davon? Wie macht ihr das aktuell in den Klausuren? Ich persönlich habe bisher alles ausgeschrieben, da ich mir etwas unschlüssig bin, was die Korrektoren tatsächlich darüber denken. Bei uns haben einige Dozenten im Kurs diesen Hinweis zum Abkürzen gegeben, andere hingegen haben davon abgeraten.

Eventuell können ja auch die „älteren Hasen“, die das Examen bereits hinter sich haben von ihren Erfahrungen berichten 🙂

Happy Weekend 🙂

Wer kann sich das alles merken?

… diese Frage stelle ich mir momentan täglich, wenn ich im Kurs sitze und kontinuierlich neues Wissen oben drauf gepackt wird 🙁

Wie soll man sich den ganzen Stoff merken? Zum Glück endet mein Kurs in dieser Woche, nach 61 Kurstagen. Mein Regal im Arbeitszimmer platzt bald aus allen Nähten und auch den anderen Teilnehmern merkt man an, dass sie förmlich „erschlagen“ sind.

Ich bin froh, dass ich ab Montag nochmal Zeit habe, die wichtigen Inhalte eigenständig aufzuarbeiten und Fälle zu bearbeiten. Ich hoffe, dass sich das Wissen dadurch gut einprägt.

Am Sonntag beginnt dann der Klausur-Technik-Lehrgang bei Endriss. An 6 Terminen soll hierbei die richtige Technik zur Bearbeitung der Klausuren erlernt werden, sodass man möglichst viele Punkte mitnimmt. Ich bin schon sehr gespannt auf den Kurs und hoffe, dass er mich im Hinblick auf die effiziente und effektive Klausurbearbeitung einen Schritt nach vorne bringt.

Wie läuft die Vorbereitung bei euch? Noch ist der Countdown ja 3-stellig 😉

Beste Grüße

Uta 🙂

Die letzten 2 Wochen …

… Kurs stehen ab morgen auf dem Programm.

Los geht’s mit drei Tagen Abgabenordnung. Hier stehen thematisch, soweit ich weiß, noch Haftung, Strafrecht, FGO / Klageverfahren an.

Ansonsten bestehen die zwei Wochen noch aus internationalem Steuerrecht, Erbschaftsteuer, Umwandlungsteuerrecht und die Besteuerung der Personengesellschaften.

IStR (2 Termine) und UmwStR (3 Termine) hatten wir bisher noch gar nicht im Kurs. IStR hatte ich schon im Master, deshalb sollte ich hier relativ schnell wieder den Einstieg finden.

In UmwStR bin ich ziemlich „blank“. Das Fach hatte ich zum ersten (und letzten) Mal relativ knapp im Bachelor und das ist schon eine Weile her 😉 Ich bin gespannt, was hier im Hinblick auf die StB-Prüfung auf mich zukommt.

Es folgen also nochmal zwei Wochen mit viel neuem Input 🙂

Wie läuft’s bei euch mit dem Lernen? Habt ihr schon den ganzen Stoff inhaltlich bewältigt?

Ergebnisse der Steuerberaterprüfung 2015/2016

… aufgrund diverser Nachfragen findet ihr hier die Ergebnisse der Prüfung des Vorjahres:

StB 2015

Wie schon zuvor vielfach spekuliert, sind die Quoten nicht wirklich gut. Eine Hoffnung für dieses Jahr, dass es besser wird?

Euch allen viel Spaß gleich beim ersten EM-Spiel!

Ich schaue bei Sonnenschein am Strand 🙂

Zandvoort

Tschüss Arbeit, hallo Freistellung …

Hello community,

sorry, dass ihr länger nichts mehr von mir gehört habt. Seit Anfang Juni bin ich ENDLICH in Freistellung. Vorher mussten natürlich noch die letzten Dinge im Büro erledigt werden. Ich bin mal gespannt, wann ich meine Kollegen und die Arbeit zum ersten Mal vermisse 😉

Auf jeden Fall hatte ich seit Beginn der Freistellung ein tägliches Date mit meinem Schreibtisch … und ehrlich gesagt, musste ich mich zu Beginn ganz schön an die neue Situation gewöhnen. Sonst bin ich beruflich viel unterwegs und habe viele Meetings mit Kollegen und Mandanten. Nun sitze ich täglich alleine in meinem Arbeitszimmer und werkel vor mich hin. Zu Beginn war die Ruhe schon sehr ungewohnt und ich musste mich zusammenreißen, dass ich mich nicht durch andere Dinge ablenke. Ich hoffe, diese Phase ist nun überwunden, denn die letzten Tage liefen immer besser.

Die letzten drei Tage habe ich nochmal ordentlich Gas gegeben und täglich eine Klausur geschrieben 🙂 Meine Werke habe ich dann gerade zum Briefkasten gebracht und nun sind die Koffer gepackt. Ich werde mich gleich für 4 Tage auf den Weg nach Zandvoort machen und mir dort etwas Erholung gönnen. Meine 4 roten Freunde bleiben natürlich brav auf meinem Schreibtisch. Am Montag geht’s dann – hoffentlich super erholt – mit Vollgas weiter.

Wie läuft’s bei euch? Habt ihr den Lerneinstieg schon gefunden? Schreibt ihr schon Klausuren oder arbeitet ihr noch fachlich nach?

Ich wünsche euch einen tollen EM-Start 🙂 Ich hoffe, dass Jogis Jungs nochmal eine Schippe drauflegen und den Titel holen!

Uta